Discounted Cash Flow vs. Other Valuation Methods: Which is Better?
Cash Flow

When it comes to valuing a company or investment, financial analysts have a range of valuation methods to choose from. Among the most popular is the Discounted Cash Flow (DCF) method, but it's not the only one. There are several other valuation techniques, each with its own strengths and weaknesses. In this post, we'll dive into the DCF method and compare it to other commonly used valuation approaches to help you determine which one is best for your situation.
What is Discounted Cash Flow (DCF)?
At its core, Discounted Cash Flow (DCF) is a method used to value an investment based on its future cash flows, adjusted for the time value of money. The idea is simple: a dollar today is worth more than a dollar tomorrow, so future cash flows are "discounted" to their present value.
Read More About: Discounted Cash Flow: A Key Method for Valuing Investment
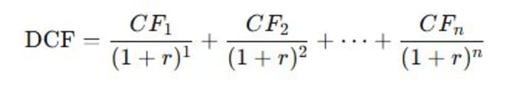
The formula for DCF typically looks something like this:

Where:
CF = Cash Flow for a given period
𝑟= Discount rate (usually the company's weighted average cost of capital, or WACC)
𝑛= Number of periods
In simpler terms, DCF involves forecasting the company’s future cash flows, then determining what those future flows are worth today using a discount rate. It's one of the most detailed and thorough methods, as it looks at the company's financials, future prospects, and time value of money.
Other Common Valuation Methods
While DCF is powerful, it's not the only way to value a business. Here’s a quick look at other popular methods:
1. Comparable Company Analysis (CCA)
Also known as peer group analysis, this method values a company based on how similar companies are priced in the market. Analysts use financial metrics like Price-to-Earnings (P/E) ratios, EV/EBITDA multiples, or Price-to-Sales ratios, comparing them to companies that are similar in industry, size, and market dynamics.
Pros:
Quick and easy to use
Provides real-time market-based valuation data
Cons:
Doesn't account for unique company factors
Market conditions can distort the true value of the business
2. Precedent Transaction Analysis
This method values a company by looking at past transactions involving similar companies (such as mergers and acquisitions). By analyzing the multiples (e.g., P/E, EV/EBITDA) paid in these deals, analysts can estimate what a company might be worth in the event of an acquisition.
Pros:
Relies on actual transactions, providing more concrete data
Useful for mergers and acquisitions
Cons:
Historical data may not reflect current market conditions
May be skewed by outlier deals
3. Asset-Based Valuation
Asset-based valuation focuses on the value of a company’s underlying assets, either on a liquidation basis (selling off assets) or a going-concern basis (considering the ongoing use of assets). It’s often used for companies in distress or those with significant tangible assets.
Pros:
Useful for companies with heavy physical assets
Straightforward and easy to calculate
Cons:
Ignores future earnings potential
Not ideal for valuing service-based or tech companies
4. Market Value (or Market Capitalization)
Market capitalization is the simplest and most common method used for publicly traded companies. It’s calculated by multiplying the company’s current share price by the total number of shares outstanding. While this method is convenient, it only works for public companies and is driven by market sentiment, not fundamentals.
Pros:
Quick and easy to calculate
Reflects real-time investor sentiment
Cons:
Subject to stock price fluctuations and market volatility
Doesn’t reflect the company’s underlying financial performance
Discounted Cash Flow vs. Other Methods: A Comparison
Now that we know what DCF and other methods are all about, let's break down how they compare across a few key areas:
1. Accuracy and Detail
DCF is often considered the most accurate valuation method because it focuses on the company’s actual financial performance and future cash flows. By forecasting these cash flows and adjusting for risk, it provides a deeper understanding of a company’s intrinsic value.
Other methods, such as Comparable Company Analysis or Precedent Transactions, rely on market data or peer comparisons, which may not always reflect a company's true potential. These methods can be useful for quick estimations but might miss the nuances that DCF can capture.
2. Flexibility
DCF offers a high degree of flexibility. Analysts can adjust assumptions such as growth rates, discount rates, and projected cash flows to see how different scenarios affect a company’s value. However, this flexibility also means that DCF is heavily dependent on the assumptions used, which can lead to large discrepancies if those assumptions are off.
Methods like Market Value or Asset-Based Valuation are less flexible because they rely on fixed data (stock prices, asset values) that don't account for a company's future prospects or growth potential.
3. Ease of Use
If you're looking for a quick estimate of a company’s value, DCF is often more time-consuming compared to methods like Comparable Company Analysis or Market Value, which require minimal calculation. For those without access to detailed financial data or forecasting tools, DCF can be difficult to apply properly.
On the other hand, methods like Market Value and Comparable Company Analysis are relatively straightforward and easy to implement, especially for public companies.
4. Applicability
DCF is most applicable for companies with predictable and stable cash flows. It works well for mature businesses or those with clear growth trajectories. However, it can be less accurate for startups or businesses with high volatility, where future cash flows are harder to predict.
In contrast, Asset-Based Valuation may be the go-to method for companies with a large amount of tangible assets, such as real estate businesses or manufacturing firms.
5. Subjectivity
One of the major criticisms of DCF is the subjectivity involved in making assumptions about future cash flows, growth rates, and discount rates. Small changes in these assumptions can significantly impact the final value, making it prone to bias.
Methods like Comparable Company Analysis or Precedent Transaction Analysis are less subjective, as they rely on data from other companies or past deals, though market conditions can still introduce bias.
Which Method is Best?
There is no one-size-fits-all answer when it comes to valuation. The best method depends on several factors:
The type of company you are valuing (e.g., a startup vs. a mature business)
Data availability (e.g., detailed financial projections for DCF vs. market data for market-based methods)
Time constraints (DCF is more time-consuming, while market-based methods are quicker)
In many cases, investors and analysts use a combination of valuation methods to get a well-rounded picture of a company’s value. DCF is often seen as the most thorough, but it’s also one of the most complex and sensitive to assumptions. When paired with other methods like Comparable Company Analysis, you can cross-check your findings and ensure that your valuation is as accurate as possible.
Conclusion
In the end, choosing between Discounted Cash Flow and other valuation methods depends on the specific situation. DCF is a powerful tool for valuing companies with predictable cash flows, but it can be challenging to apply in more uncertain environments. On the other hand, methods like Comparable Company Analysis and Market Value are quick and can provide useful benchmarks, but they lack the depth and accuracy of DCF.
For most investors, combining these methods will give a more comprehensive view of a company’s true value. By weighing the strengths and weaknesses of each, you can make smarter, more informed investment decisions.



Comments
There are no comments for this story
Be the first to respond and start the conversation.